Государственная корпорация «Ростех»
ООО «РТ-Капитал»
Акционерное общество
«Научно-исследовательский и опытно-экспериментальный
центр интеллектуальных технологий
«ПЕТРОКОМЕТА»


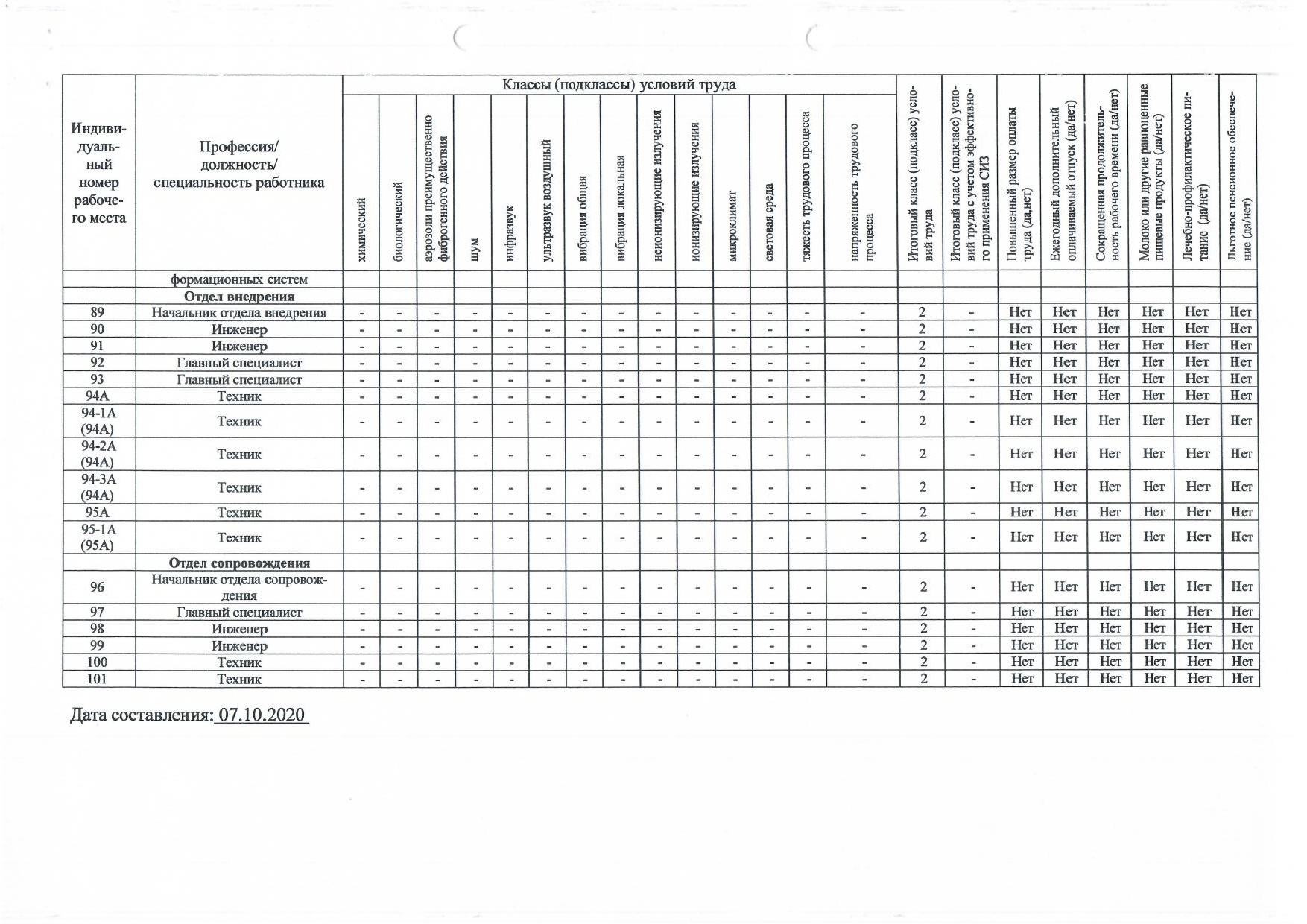
Сводная оценка результатов провединия специальной оценки условий труда «Научно-исследовательский и опытно-экспериментальный центр интеллектуальных технологий «Петрокомета»

Скачать результаты одним архивом - СОУТ